Irrte sich Einstein — wirklich???
Eine Kritik an Egbert Scheunemanns Kritik der Relativitätstheorie Einsteins
Der Hamburger Geisteswissenschafter Egbert Scheunemann[1], der sich subjektiv wahrscheinlich irgendwo in der linken Szene Deutschlands verortet und z.B. anfänglich am Netzwerk Linke Opposition in Hamburg beteiligt war, ist vielen Linken mit seiner oft recht amüsant zu lesenden “Chronik des neoliberalen Irrsinns” bekannt.
Nun beschäftigt er sich seit einiger Zeit damit, die Relativitätstheorie der modernen Physik zu kritisieren und komplett in Frage zu stellen, sowohl die spezielle wie die allgemeine Relativitätstheorie. Damit lehnt er sich im Hinblick auf seine wissenschaftliche Reputation weit aus dem Fenster und wagt sich auf ein Gebiet, das nicht primär zu seinen Fachgebieten zählt. In einem E-Mail vom 7. Dezember 2009 schreibt er:
Liebe naturwissenschaftlich, naturphilosophisch und erkenntnistheoretisch Interessierte (der Rest möge die kleine Störung verzeihen und diese Mail einfach wegklicken),
einige ebenso kritische wie erfreuliche Reaktionen aus dem Wissenschaftsbetrieb (leider nur in Form privater Zuschriften, dafür aber von in ihrer Zunft sehr hoch angesiedelten Physikern) haben mich veranlasst, zwei weitere Kapitel meines Buches "Irrte Einstein?" online zu stellen - jenes über das sogenannte Zwillingsparadoxon und jenes über das (vermeintliche) "Wesen" von Raum und Zeit, Materie und Energie (dabei sollte man letzteres zuerst lesen):
www.egbert-scheunemann.de/Zwillingsparadoxon-Kapitel-Einstein-Buch-Scheunemann.pdf
www.egbert-scheunemann.de/Wesen-der-Raumzeit-Kapitel-Einstein-Buch-Scheunemann.pdf
Die intensive, langjährige Beschäftigung mit dem Zwillingsparadoxon und der völlig vergebliche Versuch, eine mathematisch wie logisch wie physikalisch korrekte Darstellung des vermeintlichen Phänomens zu finden, hatten mich erst dazu gebracht, mich in die dahinter stehende Theorie gründlich einzuarbeiten.
Um die Gelegenheit zu nutzen: Nicht Vermessenheit und Größenwahn haben mich, entgegen manch anderer Unterstellung (übrigens ausschließlich von jenen, die keine Ahnung von der Materie haben und keine meiner diesbezüglichen Zeilen gelesen haben), dazu geführt, kritische Fragen an die Relativitätstheorie (und manch andere Phantastereien der Physiker) zu stellen, sondern Darstellungen und Interpretationen derselben, die ich als Logiker, Erkenntnis- und Wissenschaftstheoretiker nur unter die Rubrik Kopfschütteln einsortieren kann. Ich bestreite in meinem Buch "Irrte Einstein?" KEINE der (vermeintlichen) experimentellen Bestätigungen der Relativitätstheorie, bewege mich also überhaupt nicht in das eigentliche Terrain der Physiker. Ich argumentiere aus einer erkenntnistheoretischen und naturphilosophischen Perspektive vielmehr, dass man diese Ergebnisse jedoch völlig anders INTERPRETIEREN kann - und sollte.
Um den Ball des (eigentlich nur peinlichen) Expertengehabes aufzunehmen, der mir hier und da zugespielt wurde: In Sachen Erkenntnis- und Wissenschaftstheorie, speziell was den Zusammenhang zwischen Sprach- und Wirklichkeitsstrukturen betrifft, bin ich, liebe (theoretischen, also mathematik-, also sprachfixierten) Physiker, der ausgewiesene (siehe u.a. mein Buch: "Von der Natur des Denkens und der Sprache. Fragmente zur Sprachphilosophie, Erkenntnistheorie und physikalisch-biologischen Wirklichkeit") "Fachmann" und nicht ihr (von jenen eurer Exemplare abgesehen, die sich explizit und gründlich mit Erkenntnistheorie beschäftigt haben). Und auf DIESER Ebene sind meine Argumente angesiedelt. Was ich betreibe, ist, ganz nüchtern, Wissenschaftskritik und nicht, ganz albern, Mütchen kühlen an den Heroen (wenn nicht DEM Heroen) des Wissenschaftsbetriebs. Für Spielchen im Kindergarten bin ich eindeutig zu alt.
Soviel also zu jenen, die sich hinter formaler Fachautorität verschanzen und zu einer inhaltlichen Argumentation nicht herablassen wollen.
Ich wünsche viel Spaß bei der Lektüre der beiden Kapitel und hoffentlich manch Erkenntnisgewinn!
Schöne Grüße!
Egbert Scheunemann
PS-I: Ich bitte um Weiterleitung dieser Mail an alle, von denen Sie wissen, dass sie naturwissenschaftlich und naturphilosophisch interessiert sind.
An dieser ungekürzten Textpassage ist vor allem sein Verhältnis zur experimentell- objektiven physikalischen Realität bemerkenswert. Scheunemann fühlt sich als “Logiker, Erkenntnis- und Wissenschaftstheoretiker” berufen, eine Grundtheorie der modernen Physik in Frage zu stellen. Offenbar meint er dabei, sich nicht um die real vorliegenden, von ihm angeblich nicht einmal bestrittenen experimentellen Sachverhalte bemühen zu müssen, denn er erklärt ganz offen, sich da nicht auf das eigentliche Terrain der Physiker begeben zu wollen. Ihm als Fachmann für den “Zusammenhang zwischen Sprach- und Wirklichkeitsstrukturen” geht es nur um eine Kritik auf der erkenntnistheoretischen und naturphilosophischen Ebene.
Kritik der Physik — “erkenntnistheoretisch” oder materialistisch?
Zu einer materialistischen Sichtweise gehört es zwingend, die objektive Realität, die sich den Physikern unmittelbar in deren Experimenten präsentiert, als die eigentliche Basis aller Debatten zu nehmen. Gerade Naturwissenschaftler und speziell Physiker müssen das tun, sonst haben sie ihren Beruf verfehlt. Sie sind also zumindest auf ihrem (oft engen) Fachgebiet mindestens notgedrungen, gewissermaßen naturwüchsig, Materialisten, auch wenn nicht wenige von ihnen außerhalb ihres Fachgebiets allen möglichen abergläubischen oder religiösen Vorstellungen anhängen mögen. Marxisten haben zwar oft einen viel breiter aufgestellten Materialismus, aber sie sollten sich deswegen nicht zu schade sein, die vielen großartigen Leistungen der Naturwissenschafter auf ihren jeweiligen Fachgebieten entsprechend zu würdigen. Ohne die bahnbrechenden Erkenntnisse der Naturwissenschaften .stünde der philosophische Materialismus ziemlich nackt da.
Ganz offensichtlich ist Egbert Scheunemann kein Marxist. Wäre er das, so müßte er sich auf der naturphilosophischen Ebene auf das Fundament des philosophischen Materialismus stellen, ohne Wenn und Aber. Wie er aber schon im oben zitierten E-Mail klarstellt, will er gar nicht konkrete experimentelle Resultate direkt debattieren. Er will sie angeblich nicht einmal in Frage stellen. Er will nur eine andere INTERPRETATION auf der wissenschaftstheoretischen Ebene alleine und stellt damit, wie später zu sehen sein wird, eben doch die experimentelle Seite in Frage. Er hat also bereits mit einer notwendigen Vorbedingung des Marxismus seine Probleme, nämlich mit dem Materialismus. Laut Scheunemann haben sich offenbar einige Physiker bei ihm gemeldet, um ihn von seinem vermeintlich richtigen Weg abzubringen. Sie weisen ihn auf diverse Artikel zur Relativitätstheorie hin, aber auch auf konkrete Experimente, z. B. die Untersuchungen zum Myonen-Zerfall. Was antwortet Scheunemann darauf?
“So, und zu Ihrem, lieber Herr XXX, Myonen-Argument sage ich an dieser Stelle einfach gar nichts! Warum? Um Sie endlich dazu zu bewegen, mein Einstein-Buch Zeile für Zeile zu lesen!”
Dort will Scheunemann angeblich auf das Experiment eingegangen sein. Mag sein, aber online hat er nichts dergleichen veröffentlicht. Und in der online erschienenen Zusammenfassung seiner Kritik (und auch in allen anderen Online-Publikationen) findet sich nirgends ein Hinweis auf die Kernfrage der experimentellen Hintergründe der Relativitätstheorie. Vor allem vermisse ich eine Auseinandersetzung etwa mit dem berühmten Michelson-Morley-Experiment[2]. Es kommt mit keiner Silbe vor. Eine Kritik der Relativitätstheorie, ohne hierauf zentral und insbesondere online für eine breite Leserschaft sichtbar eingehen zu wollen, ist schon etwas lustig. Vielmehr ist diese tendenzielle Geringschätzung der Debatte experimenteller Sachverhalte typisch für Scheunemanns Artikel. Es ist einfach nicht sein Metier.
Im Einleitungskapitel von “Irrte sich Einstein?” ist zu lesen:
“Habermas äußert sich in seinen Schriften aber leider an keiner Stelle zu der Frage, was es denn ist, das uns in bestimmten Situationen — und guten Willen vorausgesetzt — zwingt, einem schlagenden Argument zuzustimmen. Was ist der logische Zwang? Was steckt dahinter?”
Gute Frage. Ein Materialist oder ein Naturwissenschafter würde sagen, das muß durch einen Praxistest bzw. ein Experiment entschieden werden. Kriterium für die Tauglichkeit eines Arguments oder einer größeren Theorie ist also letztlich die objektive hier physikalische Realität.
Bei Scheunemann liest sich die Antwort aber sehr diffus, wenn nicht sogar schwammig so:
“... Zum Einen beschäftigte ich mich sehr intensiv mit den neurobiologischen Grundlagen unseres Denkens und Sprechens...
“... herausfinden, woher diese unglaubliche erkenntnistheoretische und forschungspraktische Kraft der Grammatik unseres Denkens und Sprechens rührt...”
Auch diese Ausführungen deuten auf ein eher begrenztes Interesse an harten experimentellen Sachverhalten der Physik hin. Wenigstens ist Egbert Scheunemann nicht so weit vom Materialismus entfernt, als daß er (ausnahmsweise richtig!) so manche Naturwissenschaftler für gewisse sprachliche Fehlleistungen wie folgenden Satz kritisiert:
“Nett auch: Laut Albert Einsteins Relativitätstheorie darf (!! E.S.) kein Partikel die Lichtgeschwindigkeit überschreiten... (Grotelüschen 1999)...”
Sicherlich ist es umgekehrt, nämlich, daß, weil nie ein Partikel mit Überlichtgeschwindigkeit beobachtet wurde, auch dann nicht, wo im Bilde der klassischen Physik das der Fall hätte sein müssen, auf diese Weise die Relativitätstheorie ihre experimentelle Rechtfertigung bekommt. Die Theorie erteilt der Materie keine Verbote...
An anderer Stelle formuliert Scheunemann ähnlich in einem etwas lichteren Moment so:
“... Der Apfel fällt nicht vom Baum, weil es das Gravitationsgesetz gibt ... sondern fallende Äpfel (u.a.) sind die ... physische Daseinsweise der Gravitation...”
Dennoch, auch wenn sich so manche Naturwissenschaftler teilweise aus Begeisterung über die mathematische Eleganz von Theorien mit der sprachlichen Formulierung des Verhältnisses von Theorie und Experiment etwas schwer tun, kommen sie (die theoretischen Physiker eingeschlossen) letztlich nicht an der experimentellen Grundlage vorbei. Ja, mehr noch, gerade die theoretische Physik braucht ganz elementar experimentelle Resultate als Basis ihrer Überlegungen, sonst ist sie gegenstandslos. Insofern sind Naturwissenschaftler doch weitaus mehr Materialisten als es Herr Scheunemann wohl je sein wird.
Symmetrie oder Asymmetrie?
Worauf gründet sich nun Egbert Scheunemanns Kritik an der Relativitätstheorie bzw. was ist sein Hauptargument, wenn er schon nicht vertieft (oder überhaupt?) auf die experimentellen Hintergründe eingeht? Er führt das Argument der Symmetrie an, wonach bestimmte Gedankenexperimente wie das Zwillingsparadoxon die Relativitätstheorie aus Symmetriegründen ad absurdum führen würden. Eine Scheu, Kraftausdrücke zu benutzen und verbissen gegen praktisch die gesamte Physikerzunft zu kämpfen, kennt er in seinem (verwegenen) Mut nicht, fast als ob nicht schon Ende des 19. Jahrhunderts und nach der Jahrhundertwende all diese gleichen Themen zig-mal debattiert worden wären. Die Debatte ist wahrlich nicht neu. Die Physiker haben nicht mutwillig einfach so die neue Relativitätstheorie eingeführt. Vielmehr haben viele sich trotz der immer offensichtlicheren experimentellen Resultate noch über mehrere Jahrzehnte krampfhaft mit allen Mitteln, auch mit Scheunemanns Symmetrie-Argument, gegen die neue Theorie gesperrt.
Im von Einstein-Kritikern angeführten Zwillingsparadoxon geht es als Gedankenexperiment darum, daß zwei Zwillinge auf der Erde im Alter von 30 Jahren einen Uhrenabgleich vornehmen und dann einer der Zwillinge eine Reise zum Stern Wega nahezu mit Lichtgeschwindigkeit unternimmt und nach der Rückkehr nur 40 Jahre alt ist, aber sein Bruder bereits das 80. Lebensjahr erreicht hat. Nach der Relativitätstheorie ist dieses Phänomen der Zeitdehnung (auch Zeitdilatation genannt) geschuldet. Dies wird von Kritikern als aus Symmetriegründen absurd angesehen. Die Symmetrie wird von einem rein kinematischen[3] Gesichtspunkt aus begründet, nämlich so, daß umgekehrt aus Sicht des reisenden Zwillings der zurückgebliebene Bruder sich von ihm wegbewegen würde, nach der Relativitätstheorie konsequenterweise eine im gleichen Ausmaß vorhandene Zeitdehnung erfahren würde und daher aus Symmetriegründen bei ihrem Wiedersehen weder der eine noch der andere Zwilling älter als der jeweils andere sein könne.
Der Einwand hört sich oberflächlich betrachtet auf der Ebene der reinen Bewegungskinematik und unter dem Blickwinkel einer als absolut angenommenen Zeit, die für beide Zwillinge gelten würde, zunächst plausibel an. Bei näherer Betrachtung offenbaren sich jedoch schwere Widersprüche.
Es ist zu hinterfragen, ob es sich wirklich um eine symmetrische Situation handelt. Die Antwort ist im Fall des Zwillingsparadoxon klar nein, weil nicht nur die Kinematik der gleichförmig konstanten Bewegung des reisenden Zwillings unterwegs betrachtet werden muß, sondern auch Umstände wie Beschleunigungskräfte, die der reisende Zwilling im Gegensatz zu seinem auf der Erde zurückgebliebenen Bruder erfährt. Der reisende Zwilling weiß also ganz genau, daß er in Bewegung ist und sein Bruder umgekehrt nicht.[4] Der reisende Zwilling muß sehr viel Energie aufwenden, um überhaupt auf annähernd Lichtgeschwindigkeit kommen zu können, während sein Bruder sich ein gemächliches Leben ohne Hast machen kann. Bei Umkehr erfährt der reisende Zwilling ungewöhnliche Dinge wie Beschleunigungen, Abbremsungen etc. während sein Bruder nichts von all dem spürt. Das ist selbstredend nicht symmetrisch bzw. vertauschbar. Scheunemann versucht diese Tatsache so wegzuwischen:
“Es wird ... oft behauptet, dass nur der reisende Zwilling eine Be- und Entschleunigungsphase erfahre, nicht aber der auf der Erde zurückbleibende. Natürlich ist diese Behauptung physikalisch völliger Unsinn! Der Rückstoss, den, wie oben schon angemerkt, die Erde (und damit der Zwillingsbruder) erfährt, ist zwar angesichts der enormen Masse der Erde nicht spürbar, aber ... ein physisches Faktum...”
Dieses Argument zur Rettung der Symmetrie ist nicht nur lächerlich, sondern auch aus zwei Gründen falsch[5]. Zwar gibt es den Rückstoßeffekt unmittelbar beim Raketenstart auf der Erdoberfläche (extrem winzig), das ist hier nicht die Frage, aber deswegen ist die Situation noch lange nicht symmetrisch geworden. Denken wir das konsequent zu Ende, wird die Absurdität vollends offensichtlich. Nach dem Impulserhaltungssatz muß der Impulsverlust des mit seinem Raumschiff wegfliegenden Zwillings durch einen gleich großen Gegenimpuls der Erde ausgeglichen werden. So weit so gut, aber: Dieser Gegenimpuls kommt nur zu einem (praktisch nicht mehr messbaren) Bruchteil dem zurückgebliebenen Zwilling zugute, denn der Gegenimpuls verteilt sich auf die gesamte Erde (wenn man die Erde vereinfachend als absolut starren Körper annimmt). Es kommt also auf die (eindeutig asymmetrische) Verteilung der Impuls- und Energiedichte an! Zum Beispiel ist ja bekannt, daß das CERN-Labor in Genf oder das DESY in Hamburg mit ihren Elementarteilchenbeschleunigern viel Strom verbrauchen, um winzige Partikel nahezu auf Lichtgeschwindigkeit zu bringen. Dennoch hält sich die Stromrechnung der Elektrizitätswerke noch im bezahlbaren Rahmen. Umgekehrt, wenn wir behaupten, die in diesen Laboratorien beschleunigten Teilchen könnten gleichberechtigt als in Ruhe betrachtet und die Labors (mitsamt der Erde selbst) in Rückstoßbewegung gesehen werden, so wären die E-Werke sicherlich überfordert, den x-Trilliarden Tonnen-Koloß namens Erde auch nur nennenswert (geschweige auf fast Lichtgeschwindigkeit) zu bewegen... Also noch mal: Auf die Laboratorien fällt fast keine Energie ab, auf die beschleunigten Elementarteilchen dagegen in massivem Ausmaß. Das zweite noch wichtigere Gegenargument betrifft die Betrachtung der weiteren Flugphasen der Rakete. Spätestens wenn die Rakete die Erdatmosphäre verlassen hat, ist der Rückstoß auf der Erde nicht nur annähernd, sondern exakt gleich null, weil sich die Rakete immer an ihren Gasen abstößt und keinerlei Verbindung mehr zur Erde hat. Zu diesem Argument fällt Scheunemann in einem von ihm selbst veröffentlichten Disput mit einem Physiker nichts mehr ein. Er weicht stattdessen auf andere Themen aus, um seine Symmetrieüberlegungen zu retten.
Auf ähnlicher Ebene können auch Scheunemanns Ausführungen zum wandernden Mönch auf der griechischen Insel Kreta pariert werden. Während der besagte Mönch jeden Tag den Berg rauf- und runterrennt und so seine Fitness trainiert, hat er mit Sicherheit erhöhten Energiebedarf (sprich Hunger), während sich seine Klosterbrüder im Kloster ausruhen können.
An einer anderen Stelle schreibt Scheunemann über ein angeblich äquivalentes Modell, wonach die zwei Zwillinge BEIDE innerhalb einer Röhre stecken, von dort aus in genau entgegengesetzte Richtungen starten und zurückkehren. Aber das ist eine vollkommen andere Situation, da sich beide bewegen bzw. starten und nicht nur einer. In dieser Situation kommt auch die Relativitätstheorie zur Schlußfolgerung, daß am Ende keine Altersdifferenz vorliegt, weil beide Zwillinge mit gleicher Geschwindigkeit unterwegs waren und daher beide die gleiche Zeitdehnung erfahren haben. Es nimmt ein wenig wunder, für wie dumm Scheunemann seine Leser hält, um ihm die Äquivalenz dieses Röhrenmodells zum Gedankenexperiment des Zwillingsparadoxons abzunehmen.
Zur Darstellung der Asymmetrie der relativistischen Kinematik im Zwillingsparadoxon
Im Internet-Lexikon Wikipedia findet sich ein von Scheunemann in Grund und Boden kritisierter, aber meiner Meinung nach von der Wiki-Redaktion zu recht als lesenswert eingestufter Artikel zum Zwillingsparadoxon.[6]
Es ist hier nicht der Platz, auf die dahinterstehende sehr anspruchsvolle Mathematik einzugehen, die ohnehin die meisten Menschen überfordern würde. Im Moment geht es auch nicht um die Frage, ob denn nun das Phänomen der Zeitdehnung überhaupt physikalisch real ist, sondern augenblicklich darum, ob sich die Relativitätstheorie konsistent verhält. Konsistenz bedeutet, daß, wenn die Zeitdehnung als real existierendes Phänomen vorausgesetzt wird, die kinematische Betrachtung des Zwillingsparadoxon zu keinem inneren Widerspruch führt. Der Wikipedia-Artikel ist für diesen Zweck eine gute Erläuterung. Zur Einführung sei der Leser darauf hingewiesen, daß die Relativitätstheorie NICHT von einer absoluten in allen gleichförmig bewegten Bezugssystemen (also Inertialsystemen) gleichartigen Zeit spricht. Während in der Galilei-Transformation der klassischen Physik trivialerweise für einen bewegten Beobachter S’ (reisender Zwilling) und einen ruhenden Beobachter S (ruhender Zwilling) deren Zeiten identisch sind (t’ = t)[7], ist die Beziehung (Lorentz-Transformation) in der Relativitätstheorie so:
t’ = (t — vx / c2) / (1 — v2 / c2)0,5 (der Exponent 0,5 steht für die Quadratwurzel)
Hier sind v die Geschwindigkeit von S’, c die Lichtgeschwindigkeit und x ist eine Raum-Komponente, woraus tiefgreifende Konsequenzen für die Beurteilung der Gleichzeitigkeit von Ereignissen entstehen, denn nur am gleichen Ort können sich zwei Beobachter S’ und S über die gemeinsame Zeit einig sein, egal ob sie sich relativ zueinander bewegen oder nicht (Stichwort: Versagen der Gleichzeitigkeit in der Entfernung).
Selbstverständlich hat Scheunemann mit seinem Symmetrieargument recht, wenn er die Gültigkeit der Galilei-Transformation annimmt, also hier identische Zeiten für S’ und S. Auf dieser Voraussetzung aufbauend folgt, daß nach Rückkehr des reisenden Zwillings beide Zwillinge immer noch gleich alt sind. Das ist trivial. Wie sieht es aus, wenn wir die Lorentz-Transformation als gültig ansehen? Sind sich dann immer noch beide Zwillinge beim Wiedersehen einig, ob und wer von ihnen älter ist? Auf genau diese Frage geht der Wikipedia-Artikel ein. Dazu muß detailliert untersucht werden, wie sich beide Zwillinge während der Reise darüber verständigen, welche Zeit wo und wie gemessen wird.
Dieser präsentiert dabei folgendes Zahlenbeispiel aufbauend auf der oben genannten Transformationsformel. Der Zwilling reist mit 60% der Lichtgeschwindigkeit zu einem Ziel in 3 Lichtjahren Entfernung. Das sind insgesamt 6 Lichtjahre Wegstrecke, für die der reisende Zwilling aus Sicht des ruhenden Zwillings 10 Jahre braucht. Schließlich folgt aus der obigen Formel ein Zeitdehnungsfaktor von 0,8, so daß der reisende Zwilling für seine Reise nach seiner Uhr nur je 4 Jahre für Hin- und Rückweg braucht (also insgesamt 8 Jahre).
Es ist sehr wichtig zu verstehen, daß die Zeit hier nicht absolut als über den Dingen stehend existiert, sondern an den jeweiligen Beobachter S’ bzw. S und damit auch an seinen Ort und seine Geschwindigkeit (bzw. energetischen Zustand) gebunden ist. S’ und S haben ihre Eigenzeit. Schon mal vorweggenommen sei Folgendes: Ob es Herrn Scheunemann nun passt oder nicht, die Frage, ob die Eigenzeiten von S’ und S nach seiner Meinung immer gleich sein müssen bzw. ob es eine absolute Zeit gibt, das ist nicht a priori selbstverständlich klar oder folgt aus irgendeiner abstrakten erkenntnistheoretischen Logik, sondern muß letztlich durch Experimente entschieden werden.
Hier sei auch noch eine Weg-Zeit-Grafik aus dem Wikipedia-Artikel angeführt, die in Scheunemanns Zitat gar nicht wiedergegeben wird (was die Wikipedia-Darstellung verfälscht).

Das linke Diagramm gibt die Perspektive des zurückbleibenden Zwillings, das rechte die Perspektive des reisenden Zwillings. Beide haben zum Zeitpunkt der Abreise (in den Diagrammen auf dem Koordinatenursprung) vereinbart, jedes Jahr ein Lichtsignal an den jeweils anderen Bruder zu schicken. Diese Lichtsignale sind in den Diagrammen als blaue bzw. rote Linien (relativistischer Dopplereffekt) eingezeichnet. Links sendet also der ruhende Zwilling jedes Jahr ein Signal, was die Anordnung der Startpunkte der Lichtlinien erklärt (auf der vertikalen Linie direkt aufwärts pro Jahr). Die Lichtsignale haben natürlich eine gewisse Laufzeit und kommen beim bewegten Zwilling mit starker Verzögerung an, bis zu dessen Umkehrpunkt mit Rotverschiebung in gleichen Abständen, danach mit Blauverschiebung auch in gleichen aber kürzeren Abständen. Rechts sendet der reisende Zwilling jedes Jahr auch ein Signal. Die Neigung der Lichtlinien ist übrigens in beiden Diagrammen konstant, da die Lichtgeschwindigkeit gemäß dem Relativitätsprinzip[8] als Konstante betrachtet wird, egal in welchem System und unabhängig von der Bewegung des Systems!
Die (idealisierte) Kurve des reisenden Zwillings ist hier der Einfachheit halber als Zickzackkurve (geknickte Gerade) eingetragen. Wegen der Zeitdilatation sind aber auf der Zickzack-Kurve nicht 10, sondern nur 8 Messpunkte eingetragen. Die Diagramme sind also wegen der unterschiedlichen Skalierung der beiden Weg-Zeit-Kurven von S’ und S von vornherein nicht symmetrisch. Sie lassen sich auch nicht einfach horizontal oder sonstwie identisch spiegeln, wie Scheunemann verfälschend unterstellt und seinen Lesern im Buch mit einer anderen von Wikipedia kopierten vereinfachten Grafik weismachen will. Das wird beim Anblick der Diagramme unmittelbar klar. Sie sind ebenso nicht einfach mutwillig dahinkonstruiert, wie Scheunemann behauptet, sondern basieren auf den genannten Zahlenvoraussetzungen und der Annahme der Gültigkeit der Zeitdehnung und der Konstanz der Lichtgeschwindigkeit. Danach erscheint im Bild der Relativitätstheorie die Altersdifferenz der Zwillinge nur folgerichtig und passend zur unterschiedlichen Skalierung der Weg-Zeit-Kurven von S’ und S. Der ruhende Zwilling S bekommt 8 Signale, der reisende Zwilling S’ 10 Signale.
Natürlich ist damit noch nicht die Zeitdehnung als solche bewiesen, sondern, da hier a priori vorausgesetzt, erst mal nur widerspruchsfrei insofern, als daß aus der damit zwangsläufig verbundenen Asymmetrie die Altersdifferenz folgt, nicht mehr, nicht weniger.[9] Mehr Beweiskraft ist von einem reinen Gedankenexperiment nicht zu erwarten.
Gibt es eine absolute Zeit?
Tatsächlich behauptet Egbert Scheunemann:
“Schon die Einsicht der absoluten Symmetrie des Versuchsaufbaues der Gedankenexperimente mit den beiden relativ zueinander bewegten Bezugssystemen ... hätte eigentlich zu einer ... symmetrischen Relativierung der Experimente .. und damit zur ... Reinthronisierung des Absoluten führen müssen...”
Genau genommen folgert er aus der von ihm nicht bewiesenen einfach postulierten Behauptung der Symmetrie die Existenz eines absoluten Bezugssystems, relativ zu dem sowohl der ruhende als auch der reisende Zwilling gemeinsame und vergleichbare Messungen von Zeit und Raum vornehmen könnten. Das ist zwar konsequent und ganz im Rahmen der klassischen Newton’schen Physik gehalten. Nur, ohne eine experimentelle Überprüfung ist das lediglich ein abstraktes Gefecht, denn reine Gedankenexperimente führen hier nicht weiter. Auf dem Gebiet der “reinen” Theorie können sowohl der klassische mit seiner absoluten Zeit wie auch der relativistische Ansatz mit dem nur lokal gültigen asymmetrischen Eigenzeitkonzept richtig sein, also in sich konsistent. Aber innere Konsistenz reicht nicht. Der entscheidende Wahrheitstest muß in der Praxis, in Experimenten entschieden werden. Was ist mit den vielen experimentellen Belegen, die für die Relativitätstheorie sprechen? Hat Scheunemann eine bessere Erklärung als Alternative anzubieten? In der Zusammenfassung seines Buchs schreibt er:
“ ‚Zeitdilatation’, ‚Längenkontraktion’ und ‚relativistische Massenzunahme’ sind im beobachteten System keine physisch realen Phänomene, sondern im beobachtenden System wahrgenommene Beobachtungseffekte, die aus der willkürlichen Setzung verschiedener Bezugssysteme und der begrenzten Ausbreitungsgeschwindigkeit des Lichts resultieren, also als Beobachtungsfehler herausgerechnet werden sollten...Der Rechenapparat der SRT ... ist für diese Fehlerkorrektur gut geeignet...”
Das ist hochgradig verworren. Er empfiehlt allen Ernstes die Anwendung des Rechenapparates der Speziellen Relativitätstheorie, um das Bild der klassischen Physik wiederherzustellen? Es ist sogar noch schlimmer: Aus der willkürlichen Setzung verschiedener Bezugssysteme sollen “Beobachtungsfehler” resultieren. Nun, wenn man willkürlich irgendetwas vordefiniert, dann können die angeblichen Beobachtungsfehler, sprich wahrgenommenen Effekte wohl beliebig sein. Real ist vor allem, daß hier die Wissenschaft aufhört und zur Beliebigkeit verkommt.
Im übrigen sind sogenannte “Beobachtungsfehler”, die sich permanent mit gleichen Ergebnissen reproduzieren lassen, in Wahrheit keine Fehler mehr, sondern offenbaren stattdessen einen objektiven Wesenszug des gemessenen Naturvorgangs (selbstverständlich sind vorher Fehler im Versuchsaufbau sorgfältig zu prüfen und auszuschließen). Der von Scheunemann verwendete Begriff “Fehler” deutet auf eine Abweichung von einer Norm hin, nach der die Natur sich eigentlich nicht so zu verhalten habe. Offenbar ist es seine Norm, die er der Natur aufzwingen möchte und in sie hineinprojiziert (ohne sich dessen voll bewußt zu sein), und da die objektive Natur ihm leider nicht den Gefallen tut, der Norm zu entsprechen, erklärt er die seltsamen Messergebnisse kurzerhand zu einem “Beobachtungsfehler”... der ironischerweise auch noch mit einer Theorie herausgerechnet werden soll, die er eigentlich bekämpfen will.
Weiter:
“Es ist nicht möglich, im Universum ein absolut ruhendes Bezugssystem (Inertialsystem) auszuzeichnen. Jede Setzung eines Bezugssystems ist willkürlich. Es ist deswegen allein sinnvoll, das Universum selbst als absolutes Bezugssystem zu definieren...”
Während sich die ersten zwei Sätze noch im Rahmen der Relativitätstheorie bewegen, widerspricht sich Scheunemann im dritten Satz selbst. Auch das Universum selbst als absolutes Bezugssystem ist ein Bezugssystem im Universum. De facto handelt es sich um den Versuch der Wiedereinführung des Lichtäthers[10], den schon im 19. Jahrhundert ganze Physikergenerationen völlig vergeblich experimentell nachzuweisen versucht haben. Gerade das totale Scheitern dieser Versuche hat erst zur Entwicklung der Relativitätstheorie geführt, und damit zur Aufgabe der Idee vom absoluten Bezugssystem.
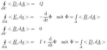
Der Begriff “absolut” impliziert u.a. die Aussage, es sei z. B. für einen Raumfahrer möglich, seine Geschwindigkeit zu messen, ohne nach draußen zu schauen. Wie das? Er kann versuchen, physikalische Phänomene an Bord zu messen auf der Grundlage, daß sie nicht invariant gegenüber der Galilei-Transformation sind, sondern empfindlich gegenüber einem gleichförmigen Orts- und Zeitwechsel des Raumschiffs (im absoluten Bezugssystem) sind. Bei Drehbewegungen ist etwas Ähnliches bekanntlich möglich (Stichwort: Foucault-Pendel, an dem eine eigene Drehbewegung festgestellt werden kann, ohne nach draußen zu schauen). Aber rotierende Systeme sind keine Inertialsysteme. Als sich im 19. Jahrhundert erstmals mit den Maxwell’schen[11] Gleichungen der Elektrodynamik anzudeuten schien, daß es möglich sein könnte, die eigene Geschwindigkeit nicht nur bei Drehbewegungen, sondern auch in gleichförmig geradlinigen Bewegungen zu messen, ohne nach draußen zu schauen, waren die Physiker voller Hoffnung und Euphorie, das experimentell nachzuweisen. Die Maxwell-Gleichungen sind nämlich nur invariant (behalten ihre Form), wenn die Lorentz-Transformation, nicht wenn die Galilei-Transformation angewandt wird. Dies läßt sich mit Hilfe der höheren Mathematik nachweisen, deren ausführliche Ausbreitung hier aber den Horizont selbst von den meisten akademisch gebildeten Lesern übersteigen dürfte. Aber die Physiker scheiterten. Es gab auch auf Grundlage der Maxwell-Gleichungen keinerlei elektro-optischen Phänomene, aus denen ein absolutes Bezugssystem hätte gefolgert werden können. Die Maxwell-Gleichungen sehen in Integralform so aus:

Die Physiker stellten auch fest, daß die Lichtgeschwindigkeit immer konstant war, egal, ob die Lichtquelle bewegt ist oder nicht. Interessant ist, daß aus den Maxwell-Gleichungen die Konstanz der Lichtgeschwindigkeit ebenfalls folgt, nämlich gemäß der Formel c = 1 / (ε μ)0,5 (wobei ε die elektrische und μ die magnetische Feldkonstante bezeichnen). Natürlich ist das nur möglich und erklärbar, wenn man annehmen muß, daß ein Beobachter des Lichtstrahls im bewegten System S’ eine andere Eigenzeit hat als der ruhende Beobachter, der dieselbe Lichtgeschwindigkeit misst. In der klassischen Physik würden wir stattdessen erwarten, daß, wenn das Licht im System S’ die Geschwindigkeit c hat, im System S hingegen die Summe v + c hat, gemessen an einem äußeren absoluten Bezugssystem. Aber: Das wurde experimentell widerlegt, zuerst im Michelson-Morley-Experiment[12] (das auch später noch viele Male und mit wachsender Genauigkeit immer wieder mit gleichem Resultat wiederholt wurde). Dabei kann man den Physikern Michelson und Morley wahrlich nicht den Vorwurf machen, sie hätten sich nicht sorgfältig genug darum bemüht, den Äther nachzuweisen. Im Gegenteil haben sie jahrelang verzweifelt an ihrem Versuchsaufbau gefeilt. Sie wollten mit aller Macht den Nachweis führen, und viele viele andere Physiker haben sie dabei unterstützt. Aber vergeblich.
Und daraus hat Einstein auch sein modifiziertes Relativitätsprinzip formuliert. Er forderte als Ergebnis der Experimente, daß die Lichtgeschwindigkeit als Konstante in allen Inertialsystemen betrachtet werden muß, und ebenso natürlich alle Naturgesetze unabhängig von der Wahl des Bezugssystems — unter Zugrundelegung der Lorentz-Transformation der Koordinaten. Es ist also falsch von Egbert Scheunemann, der Relativitätstheorie im Fall des Zwillingsparadoxons zu unterstellen, daß die Relativitätstheorie einen verlangsamten geänderten biologischen Alterungsprozess des reisenden Zwillings behaupten würde. Nein, der Alterungsprozess ist der gleiche wie beim ruhenden Zwilling (vorausgesetzt beide essen und leben gleichermaßen gesund). D. h., der innere biologische Mechanismus des Alterns bleibt gleich, nicht jedoch die dem bewegten Zwilling anhaftende Eigenzeit. Das ist ein subtiler Unterschied. Der reisende Zwilling hat ja aus seiner Perspektive gesehen keine Lebenszeit gewonnen bzw. er kann nicht sagen, er hätte nach der Wiederkehr insgesamt länger gelebt. Für ihn galt ja SEINE Eigenzeit.
Wie sagte z.B. der Physiker Feynman? “Unsere Unfähigkeit, absolute Bewegung nachzuweisen, ist ein Resultat des Experimentes und nicht ein Resultat reinen Denkens...”[13] Wie wahr! Genauso ist die Konstanz der Lichtgeschwindigkeit ein experimentelles Ergebnis und nicht ein Postulat der Relativitätstheorie. Einstein hat mit der Theorie nur versucht (und das erfolgreich), vorgefundene experimentelle Sachverhalte zu beschreiben und zu erklären.
Der Myonen-Zerfall
Zum Schluß noch eine kurze Darstellung eines von vielen experimentellen Belegen für die Relativitätstheorie, der Myonen[14]-Zerfall. Es ist ein Naturgesetz, daß die Zerfallszeit bzw. Halbwertszeit von Myonen konstant ist. Deren innerer Zerfallsmechanismus ist also unabhängig vom jeweilig willkürlich gewählten Inertialsystem. Myonen kommen sowohl als hochenergetische Partikelstrahlung aus dem Weltraum wie auch künstlich erzeugt in großen Teilchenbeschleunigern vor. Mit großer Genauigkeit hat man nachgemessen, wie sich die Intensität von Myonenschauern in Detektoren gemessen deutlich erhöht, wenn sie nahezu Lichtgeschwindigkeit erreicht haben, und zwar genau im berechneten Ausmaß der von der Relativitätstheorie vorausgesagten Zeitdehnung. Man hat das sowohl im Labor wie auch in der Höhenforschung in der Atmosphäre nachgewiesen. Wenn die Myonen ca. 10km über unseren Köpfen entstehen und dank der kosmischen Strahlung sehr viel Energie übernehmen, so daß sie sich selbst mit nahezu Lichtgeschwindigkeit auf den Weg zur Erdoberfläche machen, dann ist bei einer Halbwertzeit von 2,2 Millionstel Sekunden nach ca. 660m (also auf 9400m Höhe) nur noch die Hälfte der Myonen da. Spätestens auf dem Erdboden sollten sie sich praktisch kaum noch nachweisen lassen. Aber sie werden doch in nennenswerter Zahl nachgewiesen, und zwar in einem Umfang, der nur dadurch zu erklären ist, daß sich die Halbwertzeit der Myonen gedehnt hat (Zeitdilatation). Im Elementarteilchenlabor hat man all das ebenso vermessen — mit großer Genauigkeit und gleichem Ergebnis.
Wollte man diesen relativistischen Effekt der Zeitdehnung wie Scheunemann nur als “Beobachtungsfehler” ansehen und an einer konstanten (absoluten) Zerfallszeit festhalten, wird umgekehrt ein Schuh daraus. Scheunemann käme zur Erklärung der unterschiedlichen geschwindigkeitsabhängigen Myonen-Intensitäten nicht umhin, anzunehmen, daß sich anstelle der als gleichförmig ablaufend angenommenen Zeit der innere Zerfallsmechanismus der Myonen ändert, wenn sich deren Geschwindigkeit der Lichtgeschwindigkeit nähert. Das wäre analog zu einem unterschiedlichen biologischen Alterungsprozess im Bild des Zwillingsparadoxons. Dann ist es vorbei mit der universellen Anwendbarkeit von Naturgesetzen in allen Inertialsystemen. Dann können wir eigentlich auch aufhören, noch Wissenschaft zur Berechnung und Vorhersagbarkeit von Phänomenen zu betreiben. Nun, das wird Egbert Scheunemann sicherlich bestreiten, es so gemeint zu haben, aber er hat die letzten Konsequenzen seiner Haltung nicht zu Ende gedacht.
Eine ähnliche oberflächliche Auseinandersetzung findet sich auch in diversen Internet-Foren, etwa so[15]:
“... Fakt ist einfach, dass diese Myonen mitnichten ausschließlich in den höchsten Bereichen der Erdatmosphäre entstehen, sondern auch in erdnahen Umfeldern, weshalb man sie selbstverständlich an der Erdoberfläche nachweisen kann. Nach der alleinigen Anwendung der speziellen Relativitätstheorie müssten vom Myon aus betrachtet übrigens die Erdenuhren langsamer gehen bzw. jede Systemuhr gegenüber den Uhren des anderen Systems, was jedoch im Widerspruch zu den aus der Realität gewonnenen Beobachtungen steht.
Angemerkt sei zudem, dass sich Myonen, wie Sie selbst schreiben, überaus zügig bewegen, nämlich mit nahezu c. Eine zur Zerstörung der Myonen führende Kollision untereinander wird hierdurch oftmals vermieden.
...Selbst wenn es eine reale Verlängerung der Lebensspanne von Myonen gäbe, müsste diese auf andere Weise zustande kommen und jenseits speziellrelativistischer Effekte liegen.
Die hier enthaltenen vier Behauptungen treffen allesamt nicht den Kern des Problems oder sind schlicht falsch. 1.) Sicherlich entstehen Myonen nicht in einer festen Höhe bei exakt 10km. Aber eine entsprechende mathematische Rechnung mit Hilfe der Integralrechnung, die den Umstand der Erzeugung der Myonen in verschiedenen Höhen berücksichtigt, zeigt leicht, daß die Intensität der Myonenschauer auf der Erdoberfläche genauso drastisch verringert wäre, gäbe es nicht den relativistischen Effekt der Zeitdehnung. 2.) Das dort erneut vorgetragene Symmetrieargument ignoriert wieder einmal die Tatsache, daß die spezielle Relativitätstheorie mitnichten ruhenden und bewegten Beobachter für beliebig miteinander vertauschbar erklärt. Und es ist vollkommen klar, wer sich hier mit nahezu Lichtgeschwindigkeit bewegt, eben nicht die Erde, sondern die Myonen. In diese Symmetriefalle tappen viele hinein, weil sie oft unbewußt von einer überall gültigen absoluten Zeit ausgehen, die unabhängig von der Materie (und Energie) sei. Anbei sei angeführt, daß die allgemeine Relativitätstheorie einen Zusammenhang zwischen Energie, Zeit, Geschwindigkeit und Masse herstellt und so die implizite Asymmetrie-Voraussetzung der speziellen Relativitätstheorie begründet. 3.) Myonen zerstören sich natürlich nicht per Kollision (das ist vernachlässigbar), sondern vor allem durch inneren Zerfall ohne Zutun von außen, vergleichbar mit dem Phänomen der Radioaktivität. 4.) Die Behauptung, die Zeitspannenverlängerung der Myonen jenseits relativistischer Effekte erklären zu müssen (ohne daß tatsächlich eine Erklärung vorgelegt wird), suggeriert in der Tat eine geschwindigkeitsabhängige Regel für den inneren Zerfallsmechanismus und damit letztlich eine Absage an ein universelles Relativitätsprinzip.
Die Zähheit des menschlichen Geistes
Letztlich ist Scheunemann nicht der erste, aber wohl auch nicht der letzte Einstein-Kritiker. Gemeinsam ist ihnen allen eine gewisse Oberflächlichkeit, selektive Wahrnehmung und Ignoranz gegenüber experimentellen Ergebnissen, in sehr vielen Fällen aber auch eine intellektuelle Überforderung durch den sehr komplexen mathematischen Apparat der Relativitätstheorie (besonders der allgemeinen — ART). Die nicht besonders seriöse Zeitschrift P.M. hatte z. B. 1998 einen ähnlich provozierenden Titel wie Scheunemann aufgelegt (es war wohl sogar der gleiche Titel), vgl. dazu auch http://www.bild-der-wissenschaft.de[16].
Übrigens, der Verfasser dieses Artikels ist diplomierter Physiker. Nicht daß ich glaube, dies würde per se zu fundierten Artikeln über Physik führen, und es war auch nicht mein Anliegen hier, in die Tiefen der Relativitätstheorie abzusteigen und so viele Leser zu überfordern, aber ich respektiere und schätze sehr die unzähligen experimentellen Belege, die sich für die Relativitätstheorie finden lassen und lehne rein erkenntnistheoretische oder abstrakt symmetrische Überlegungen ohne Bezug zur Praxis als unfruchtbar ab. Ich weiß daher durch die intensive Beschäftigung im Studium, wie schwer sich gerade die Physiker anfangs mit der Relativitätstheorie getan haben und selber unter sich all die vorgebrachten Einwände debattierten (oft noch viel tiefschürfender als die heutigen Kritiker), sich aber unter dem Druck der experimentellen Resultate letztendlich dazu durchrangen und damit eine Revolution in der Wissenschaft einläuteten.
Warum tun wir uns im Hinblick auf das Verständnis der Zeit so schwer? Wir legen alte Denkgewohnheiten nicht so ohne weiteres ab. Der menschliche Geist neigt dazu, sich noch lange an tradierten Mustern zu orientieren, auch wenn sich die materielle Basis dafür längst geändert hat. So ist es bekanntlich mit der Religion und den Glaubensbekenntnissen etwa von Astronauten auf Weltraumspaziergängen. So ist es auf politischem Gebiet, wenn viele (Scheunemann eingeschlossen) gegen den “neoliberalen Irrsinn” zu Felde ziehen, aber doch an die Reformierbarkeit des Kapitalismus glauben - entgegen allen historischen Erfahrungen. So ist es auch mit der physikalischen Größe der Zeit.
Wir sind es von jeher gewohnt, als selbstverständlich anzunehmen, daß zwei Menschen die gleiche Zeit meinen, wenn sie sich zu einer bestimmten Zeit treffen wollen und auf ihre jeweils eigene Uhr schauen. Es erscheint selbstverständlich und folgerichtig zu denken, daß, wenn die Zeit für alle immer gleich zu sein scheint, die Zeit überall absolut und losgelöst von der Materie existiert. Von daher ist die Annahme einer mehr oder wenigen euklidischen Geometrie und eines absoluten Bezugssystems nur konsequent. Andererseits: Bei physikalischen Größen wie der Energie und dem Impuls gehen wir bereits auf Basis unserer Alltagserfahrungen davon aus, daß sie nicht überall gleich sind, quasi lokalen Charakter haben. Hier fällt es uns nicht schwer, sofort eine Asymmetrie zu erkennen. Nun haben die Experimente im Detail gezeigt, daß die Zeit für zwei Beobachter, die sich relativ zueinander bewegen, doch differiert, wenn Geschwindigkeiten auftreten, die wesentlich an die Lichtgeschwindigkeit herankommen. Auch tauchten erstmals Asymmetrien auf. Das hat letztlich die Physiker dazu genötigt, ihre alten Vorstellungen von der klassischen Zeit über Bord zu werfen.
Wir bewegen uns halt im Schneckentempo, sowohl körperlich, im Vergleich zum Licht, als auch geistig im Sinne der Anpassung an neu erfahrene vorgefundene Realitäten. Aber wir bewegen uns, auch politisch werden wir eines Tages neue Wege beschreiten, selbst wenn es dauert. Im Falle der Relativitätstheorie hat die geistige Anpassung unter den Physikern selbst etliche Jahrzehnte gebraucht.
Ein wenig Schuld an den Verständnisproblemen mag auch die Schulphysik haben, die selten über die klassische Physik hinauskommt. Gerade der Newton’schen Mechanik (F = m a) wird extrem viel Raum eingeräumt, wo hingegen die Elektrodynamik (die für unseren Alltag übrigens weitaus wichtiger ist) bereits vergleichsweise verkürzt wird und Relativitätstheorie und Quantenmechanik allenfalls auf der gymnasialen Oberstufe im Schnelldurchgang abgehandelt werden. Das hat natürlich auch mit den steigenden mathematischen Anforderungen zu tun. Wie auch immer, bei den Durschnittsbürgern bleibt oft nur die klassische Mechanik einigermaßen hängen.
Vielleicht ist die Relativitätstheorie nicht das letzte Wort. Sie hat in Grenzbereichen wie in z. B. in schwarzen Löchern ihre Schwächen. Ein Blick auf die Wissenschaftsgeschichte, in der schon einige Umstürze von Theorien passierten, sollte uns vorsichtig machen. Aber der oberflächliche und nicht materialistische (weil nicht eng am experimentellen Befund orientierte) Kritikansatz von Scheunemann und anderen Einstein-Kritikern ist hierfür völlig ungeeignet. Diese Leute können auch keine sinnvolle Alternative benennen. Wenn schon eine neue Theorie, dann würde sie ganz bestimmt die jetzt bekannten experimentellen Daten mindestens genausogut erklären müssen und damit die Relativitätstheorie als Spezialfall enthalten, so wie die Relativitätstheorie ihrerseits die klassische Newton’sche Physik als Spezialfall enthält.
Zu guter Letzt, da dieser Artikel auf einer marxistisch ausgerichteten Homepage erscheint, jetzt noch ein kleiner Hinweis auf einen Artikel von Albert Einstein zum Thema “Warum Sozialismus?”[17]. Sicherlich war auch Einstein kein Marxist, aber immerhin hat er sich einmal positiv damit auseinandergesetzt. Mit einem vergleichbaren Artikel bei Egbert Scheunemann kann ich leider nicht dienen, denn auf seiner Homepage findet sich kein Hinweis auf einen Sozialismus-Bezug oder gar auf Karl Marx selbst.
Meno Hochschild (März 2010)
Anhang: Relativitätsprinzip für Laien
In der ursprünglichen Fassung, die in der klassischen Physik zuerst von Isaac Newton formuliert wurde, besagt das Relativitätsprinzip, daß alle Gesetze der Dynamik für alle Inertialbeobachter, die sich mit konstanter Geschwindigkeit zueinander bewegen, gleich sind. Der Physiker Henri Poincaré formulierte das sehr deutlich so:
“Das Prinzip der Relativität, nach dem die Gesetze der physikalischen Vorgänge für einen feststehenden Beobachter die gleichen sein sollen, wie für einen in gleichförmiger Translation fortbewegten, so dass wir gar keine Mittel haben oder haben können, zu unterscheiden, ob wir in einer derartigen Bewegung begriffen sind oder nicht.”[18]
Nun ist es interessant zu sehen, welche Raum- und Zeitvorstellungen zugrundeliegen, wenn von der gleichförmig geradlinigen Bewegung zweier Beobachter oder Inertialsysteme die Rede ist. Als im 19. Jahrhundert der britische Physiker James Clark Maxwell die bis dahin bekannten elektrodynamischen Gesetze zusammenfasste (und als Geniestreich das Ampère-Gesetz mit dem postulierten viel später von Heinrich Hertz experimentell bestätigten Verschiebungsstrom ergänzte), schien es zum ersten Mal so, als ob außerhalb der klassischen Mechanik das Relativitätsprinzip nicht gelten würde. Das deshalb, weil die Maxwell-Gleichungen offensichtlich NICHT in Übereinstimmung mit der von Newton implizit angenommenen Galilei-Transformation von Raum und Zeit waren. Mit anderen Worten: Die Maxwell-Gleichungen waren mathematisch so formuliert, daß sie für zwei sich gleichförmig geradlinig zueinander bewegende Beobachter unterschiedliche elektrodynamische Resultate erwarten ließen. Welchen Ausweg gab es aus dieser Situation?
a) Die Maxwell-Gleichungen sind falsch. Das ist indes völlig unwahrscheinlich, weil es sich bei den Maxwell-Gleichungen tatsächlich um das am besten erforschte und experimentell am besten abgesicherte Gebiet der gesamten Physik handelt. Das Verwerfen der Maxwell-Gleichungen würde quasi einen Großteil der (elektrodynamischen) Phänomene unerklärbar machen. Es wurde auch versucht, die Maxwell-Gleichungen so zu modifizieren, daß sie der klassischen Galilei-Transformation genügten. Das hätte zur Voraussage von neuartigen Phänomenen geführt, die gar nicht beobachtet werden konnten.
b) Das Relativitätsprinzip gilt nur für die Mechanik, nicht für die Elektrodynamik. Es sollten sich elektrodynamische Phänomene nachweisen lassen, die auf der Bewegung der Erde relativ zu einem Lichtäther beruhen, so daß durch Beobachtung dieser Phänomene ein Beobachter feststellen könne, ob er sich in Bewegung oder in Ruhe befindet. Tatsächlich mußten die Physiker feststellen, daß das nicht möglich ist.
c) Das Relativitätsprinzip gilt AUCH für die Elektrodynamik. Diese modifizierte Form des Relativitätsprinzips wurde u.a. von Poincaré und Einstein vorgeschlagen. Damit das Relativitätsprinzip in Übereinstimmung mit den Maxwell-Gleichungen ist, muß es so umformuliert werden:
Alle physikalischen Gesetze (also nicht nur die der Mechanik) sind in Inertialsystemen immer gleich, gleichgültig wie sich zwei Beobachter relativ zueinander gleichförmig geradlinig bewegen, wobei für die Transformation der Raum-Zeit-Koordinaten die Lorentz-Transformation anzuwenden ist.
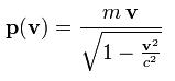
Albert Einstein ging noch einen Schritt weiter als Poincaré insofern, als daß er vorschlug, nicht die Elektrodynamik zu korrigieren, sondern die Mechanik. So können die Newtonschen Gesetze der klassischen Mechanik (vor allem Kraft = Masse x Beschleunigung bzw. Impuls = Masse x Geschwindigkeit) in Harmonie mit der Elektrodynamik und der Lorentz-Transformation gebracht werden, indem die Newtonsche Impulsgleichung p = m v durch einen Ausdruck der Form

ersetzt wird. Hieraus folgt letztlich die Äquivalenz von Masse und Energie, nach der sich die Energie eines ruhenden Teilchens und seiner (Ruhe)-Masse sich gegenseitig festlegen gemäß der berühmten Formel E = m c2. Insbesondere geht die Bindungsenergie von Atomkernen in deren Masse ein. Das wurde gerade in der Kernphysik glänzend experimentell bestätigt. Umgekehrt entspricht der Freisetzung dieser Bindungsenergie (z.B. in einer Atombombenexplosion) eine Massendifferenz zwischen gebundenem Atomkern und der Massen seiner einzelnen Bestandteile.
Tatsächlich wäre ohne die von Einstein vorgenommene Korrektur der klassischen Mechanik die gesamte Kernphysik mitsamt ihren technischen Resultaten (u.a. der Nutzung der Atomenergie) nicht denkbar.
[1] | Homepage: http://www.egbert-scheunemann.de/ |
[2] | vgl. auch Richard Feynman: Vorlesungen über Physik, Bd. 1, Oldenbourg-Verlag, S. 220ff |
[3] | Der Begriff “Kinematik” bezieht sich auf die rein mechanische Beschreibung von Bewegungen mit Hilfe von Weg-Zeit-Kurven ohne Betrachtung von Energie oder Impuls |
[4] | vgl. auch Richard Feynman: Vorlesungen über Physik, Bd. 1, Oldenbourg-Verlag, S. 235 |
[5] | In einer Vorversion dieses Artikels war implizit tatsächlich nur von der unmittelbaren Startphase der Rakete auf der Erdoberfläche die Rede. Aber real und bei einer vollständigen Betrachtung ist die anschließende Flugphase der Rakete im Weltraum viel wichtiger, daher wurde der Absatz mit diesem wichtigen zweiten Argument ergänzt. |
[6] | http://de.wikipedia.org/wiki/Zwillingsparadoxon |
[7] | Die Galilei-Transformation setzt ein euklidisches Raum-Zeit-Verständnis voraus und dient der Umrechnung von Raumkoordinaten in zwei zu einander bewegten Systemen. Die darin auftauchende einfache räumliche Transformationsgleichung x’ = x — vt ist wahrscheinlich den meisten Lesern intuitiv auf Alltagserfahrungen basierend klar. Gleichwertig damit ist die Vorstellung einer absoluten sich nicht verändernden Zeit, so daß sich Geschwindigkeiten von zwei sich relativ zueinander bewegenden Beobachtern schlicht addieren und es demzufolge auch keine konstante Lichtgeschwindigkeit geben könne. |
[8] | siehe Anhang: Relativitätsprinzip für Laien |
[9] | Eine genaue mathematische Betrachtung, die auch die Beschleunigungs- und Abbremsphasen des reisenden Zwillings detailliert untersucht, aber hohe Ansprüche an das mathematische Verständnis des Lesers stellt, findet sich auch im Internet unter: http://de.wikibooks.org/wiki/Das_%C2%BBZwillingsparadoxon%C2%AB_-_einmal_genau_betrachtet |
[10] | Dem Äther lag in der klassischen Physik die Vorstellung zugrunde, daß Lichtwellen zur Ausbreitung ein Medium (ähnlich wie Schallwellen die Luft) benötige. Verschiedene Varianten der Äthertheorie wurden überprüft und schließlich alle verworfen. So würde z.B. ein ruhender vom Beobachter nicht mitgeführter Äther als Medium tatsächlich einem absoluten von der Materie unabhängigen Bezugssystem entsprechen, während ein vom bewegten Körper vollständig mitgeführter Äther eigentlich per Definition nicht beobachtbar wäre. Teilweise mitgeführte Äther hat man experimentell nie gefunden (siehe auch das Michelson-Morley-Experiment). |
[11] | Als Maxwell-Gleichungen bezeichnet man konkret 4 Gleichungen (siehe auch obige Grafik):a) das Gaußsche Gesetz (für elektrische Erscheinungen) besagt, daß die freien elektrischen Ladungen die Quellen der dielektrischen Verschiebung (auch elektrische Flußdichte genannt) sind.b) das Faraday—Henry Gesetz sagt aus, daß die zeitliche Änderung des magnetischen Flusses durch eine Fläche in dessen Randkurve eine elektrische Umlaufspannung von gleichem Betrag und entgegengesetztem Vorzeichen erzeugt (z.B. Stromerzeugung in Generatoren).c) das Gaußsche Gesetz (für magnetische Erscheinungen) sagt aus, daß magnetische Monopole als Quellen der magnetischen Induktion (auch magnetische Flußdichte genannt) nicht existieren.d) das Ampère—Maxwellsche Gesetz sagt aus, daß der Gesamtstrom aus Konvektionsstrom und Verschiebungsstrom durch eine Fläche in dessen Randkurve eine magnetische Umlaufspannung gleicher Größe erzeugt (z.B. Erzeugung von Funkwellen, entdeckt durch Heinrich Hertz). |
[12] | Das Michelson-Morley-Experiment als eines der bedeutendsten Experimente der Physik hatte den Zweck, die Bewegung der Erde relativ zu einem “Äther” nachzuweisen. Aber dieser hypothetische Äther hatte tatsächlich keinerlei Auswirkungen auf die Lichtgeschwindigkeit, so daß sich gar nichts feststellen ließ. |
[13] | vgl. Richard Feynman, Vorlesungen über Physik, Bd. 1, Oldenbourg-Verlag, S. 233 |
[14] | Myonen genannte Elementarteilchen entsprechen negativ geladenen Elektronen, haben aber eine mehr als 200-mal größere Ruhemasse, sie entstehen in der oberen Erdatmosphäre durch Interaktion mit der kosmischen Strahlung aus dem Weltraum als sekundäre Strahlung |
[15] | http://www.gott-wissen.de/forum/viewtopic.php?f=3&t=1144 |
[16] | http://www.bild-der-wissenschaft.de/bdw/bdwlive/heftarchiv/index2.php?object_id=10092870 |
[17] | Veröffentlicht auf: http://www.marxismus-online.eu/display/dyn/x7b6f1718-5f5c-4047-bdc6-30ef18e871dc/content.html |
[18] | http://de.wikisource.org/wiki/Der_gegenw%C3%A4rtige_Zustand_und_die_Zukunft_der_mathematischen_Physik |